永远不会做的题:积分不等式

南开大学 $f(x)$在$[0,+\infty)$上连续、单调递减,$\displaystyle \int_0^{+\infty}x^3f(x)\mathrm dx$收敛。证明:

$$
\left(\int_0^{+\infty}x^2f(x)\mathrm dx\right)^2\leqslant\frac89\int_0^{+\infty}xf(x)\mathrm dx\int_0^{+\infty}x^3f(x)\mathrm dx.
$$


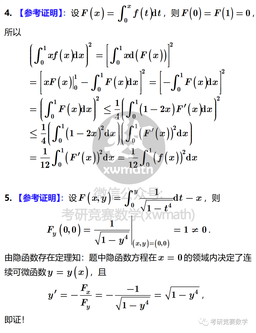
大连理工大学 设$f(x)$在$[0,1]$上连续,$\displaystyle \int_0^1f(x)\mathrm dx=0$。求证:

$$
\left(\int_0^1xf(x)\mathrm dx\right)^2\leqslant\frac1{12}\int_0^1f^2(x)\mathrm dx.
$$


中国人民大学 $p(x)$在$[a,b]$非负且连续,$f(x),g(x)$在$[a,b]$上连续、单调递增。证:

$$
\int_a^bp(x)f(x)\mathrm dx\int_a^bp(x)g(x)\mathrm dx\leqslant\int_a^bp(x)\mathrm dx\int_a^bp(x)f(x)g(x)\mathrm dx.
$$

答案:


上海财经大学 设$f(x)$在$[0,1]$可微,$0\lt f’(x)\lt1$,且$f(0)=0$。证明:对任意的$a\in(0,1)$有

$$
\left(\int_0^af(x)\mathrm dx\right)^2\gt\int_0^af^3(x)\mathrm dx.
$$

答案: